onride - dein Forum über Achterbahnen · Freizeitparks · Kirms

Foren · Freizeitparks

Umfrageergebnis

Du kannst das Ergebnis erst sehen, nachdem du abgestimmt hast.

Eingegangene Stimmen bisher: 264

It's Corona Time - Effekte auf die Freizeitparkwelt

Gehe zu Seite Zurück  1, 2, 3 ... 195, 196, 197 ... 247, 248, 249  Weiter
Autor Nachricht Aktionen
mico Der Benutzer wurde geprüft und ist eine reale Person. Unterstützt das Forum mit einer jährlichen Spende. Ist ein Ehrenmitglied. Neu  17.11.2021 Mittwoch, 17. November 2021 07:26
Avatar von mico mico Der Benutzer wurde geprüft und ist eine reale Person. Unterstützt das Forum mit einer jährlichen Spende. Ist ein Ehrenmitglied.
Michael Coslar

Deutschland . NW
:+1: Hab ich gemacht. 0 gefällt das
Bends Der Benutzer wurde geprüft und ist eine reale Person. Unterstützt das Forum mit einer jährlichen Spende. Ist ein Ehrenmitglied. Neu  17.11.2021 Mittwoch, 17. November 2021 07:29
Avatar von Bends Bends Der Benutzer wurde geprüft und ist eine reale Person. Unterstützt das Forum mit einer jährlichen Spende. Ist ein Ehrenmitglied.


Deutschland . NW
NRW modifiziert seine Coronaschutzverordnung:

3G am Arbeitsplatz, große Veranstaltungen nur noch als 2GPlus, Sport und Co, wo bisher 3G war, ab kommender 2G.

Edit: BaWü (und damit auch die Parks) sind ebenfalls 2G, mit Ausnahme der regelmäßig getesteten Kinder.
0 gefällt das
multimueller Der Benutzer wurde geprüft und ist eine reale Person. Unterstützt das Forum mit einer jährlichen Spende. Ist ein Ehrenmitglied. Neu  17.11.2021 Mittwoch, 17. November 2021 10:15
Avatar von multimueller multimueller Der Benutzer wurde geprüft und ist eine reale Person. Unterstützt das Forum mit einer jährlichen Spende. Ist ein Ehrenmitglied.
Tom

Deutschland . NW
Und auch der SPIEGEL gibt mit fehlerhafter Berichterstattung wieder Wasser auf die Mühlen der Impfkritiker. Wenn man schon seinen „Artikel“ bei den Kollegen des Tagesspiegels abschreibt, dann sollte man das wenigstens richtig machen:

SPIEGELLaut einer Umfrage des Berliner »Tagesspiegels« unter den Berliner Kliniken ist fast jeder dritte Corona-Patient in Intensivbehandlung geimpft. Demnach werden aktuell 266 an Covid Erkrankte stationär versorgt. Bei mindestens 81 Fällen davon liegt ein Impfdurchbruch vor.

Quelle: SPIEGEL

Hier werden mal wieder stationäre Patienten und Intensivpatienten vermengt. Dabei ist die Quote der Geimpten auf der ITS wesentlich geringer. Aber auch die anderen Zahlen sind kein Grund zur Besorgnis:

BevölkerungIm Krankenhaus
Geimpft70%*30%
Ungeimpft30%70%

*Moderater Korrekturaufschlag wegen Underreporting (siehe RKI). Die tatsächliche Zahl dürfte sogar noch höher liegen.

Mit anderen Worten: 70% der Gesamtbevölkerung machen gerade mal 30% der Personen im Krankenhaus aus. Und selbst diese Zahlen sind noch zu gering gegriffen: Rund 80% der hospitalisierten Fälle sind laut RKI über 60. Und da sind bundesweit maximal 15% ungeimpft, in Berlin vermutlich bestenfalls 10%.
0 gefällt das
Willyviper Der Benutzer wurde geprüft und ist eine reale Person. Unterstützt das Forum mit einer jährlichen Spende. Ist ein Ehrenmitglied. Neu  17.11.2021 Mittwoch, 17. November 2021 10:29
Avatar von Willyviper Willyviper Der Benutzer wurde geprüft und ist eine reale Person. Unterstützt das Forum mit einer jährlichen Spende. Ist ein Ehrenmitglied.
Christian

Deutschland . HE
Zitat(m/w/d/x) pro Tag wünschen, um eine Gefährdung Dritter zu minimieren.


Die Selbsttests sind aber halt auch nicht sonderlich genau. Klar besser als nix, aber wir hatten auch schon ein paar Verdachtsfälle in der Firma, die laaange nach dem Kontakt negativ waren und dann plötzlich positiv. Übrigens auch geimpft.

Mit 2G sollte ja jetzt im EP auch weniger los sein S

Gruß
Christian
0 gefällt das
benbender Der Benutzer wurde geprüft und ist eine reale Person. Unterstützt das Forum mit einer jährlichen Spende. Ist ein Ehrenmitglied. Neu  17.11.2021 Mittwoch, 17. November 2021 10:30
Avatar von benbender benbender Der Benutzer wurde geprüft und ist eine reale Person. Unterstützt das Forum mit einer jährlichen Spende. Ist ein Ehrenmitglied.
Torsten Bender

Deutschland . HE
Der Vorsitzende der Ständigen Impfkommission Thomas Mertens hat gestern bei Markus Lanz angekündigt, dass zeitnah die Empfehlung für Drittimpfungen ab 18+ erfolgen soll.
spiegel.de markus-lanz-stiko-wird-laut-thomas-mertens-booster-impfungen-fuer-alle-ab-18-jahren-empfehl en-a-1629ff9a-2971-4a1c-8691-53eb5dcb0c02

Zudem hat Jens Spahn in einem Schreiben an die Fachärzte deutlich gemacht, dass alle Personen ab 18 Jahren in Deutschland auch schon vor Ablauf der Frist von sechs Monaten nach der letzten Impfung eine Auffrischungsimpfung gegen das Coronavirus bekommen können.
tagesspiegel.de 27806028.html

Wenn man jetzt noch zügig wieder Impfzentren öffnet bzw. die Last nicht alleine den Hausärzten überlässt, könnte jeder zügig seine Drittimpfung erhalten.
0 gefällt das
JPeschel Der Benutzer wurde geprüft und ist eine reale Person. Unterstützt das Forum mit einer jährlichen Spende. Ist ein Ehrenmitglied. Neu  17.11.2021 Mittwoch, 17. November 2021 10:53
JPeschel Der Benutzer wurde geprüft und ist eine reale Person. Unterstützt das Forum mit einer jährlichen Spende. Ist ein Ehrenmitglied.


Deutschland . BY
Herr Söder möchte die Auffrischung schon vor Ablauf der sechs Monate auch forcieren. Die niedergelassenen Ärzte werden das vermutlich überwiegend machen. Ich hoffe nur, dass die Impfzentren nicht stur nach StIKo-Empfehlung vorgehen und zwingend sechs Monate voraussetzen. Ich glaube kaum, dass der Ministerpräsident hier weisungsbefugt ist und über der freien Berufsausübung steht.

Jochen
0 gefällt das
Maliboy Der Benutzer wurde geprüft und ist eine reale Person. Unterstützt das Forum mit einer jährlichen Spende. Ist ein Ehrenmitglied. Neu  17.11.2021 Mittwoch, 17. November 2021 10:55
Avatar von Maliboy Maliboy Der Benutzer wurde geprüft und ist eine reale Person. Unterstützt das Forum mit einer jährlichen Spende. Ist ein Ehrenmitglied.
Kai Dietrich
Bad Neuenahr-Ahrweiler
Deutschland . RP
benbenderWenn man jetzt noch zügig wieder Impfzentren öffnet bzw. die Last nicht alleine den Hausärzten überlässt, könnte jeder zügig seine Drittimpfung erhalten.

RLP setzt hier auf Krankenhäuser und ein paar Impfzentren sowie die Busse

Dagegen spricht, das man am 8. November die Anzahl der Tests an den Schulen auf einen pro Woche reduziert hat (und geimpfte müssen sich gar nicht testen).
Heute hat man zwar angekündigt, die Anzahl der Tests an die Warnstufe zu koppeln (Warnstufe 1 ein Test, Stufe 2 2 tests und Stufe 3 3 Tests), da ber ganz RLP noch in Stufe 1 ist ändert sich erst einmal nichts.

Tschau Kai
0 gefällt das
Bends Der Benutzer wurde geprüft und ist eine reale Person. Unterstützt das Forum mit einer jährlichen Spende. Ist ein Ehrenmitglied. Neu  17.11.2021 Mittwoch, 17. November 2021 11:01
Avatar von Bends Bends Der Benutzer wurde geprüft und ist eine reale Person. Unterstützt das Forum mit einer jährlichen Spende. Ist ein Ehrenmitglied.


Deutschland . NW
Zeitgleich hält der Chef des Hausärzteverbandes die Booster für „normale Menschen“ (also nicht für Schla****) für nicht wichtig. Und wenn dann erst die vulnerablen Gruppen vorziehen, was ja auch irgendwie nachvollziehbar ist.

Meanwhile in Hamburg: Andy Grote, auch bekannt als „du bist so 1 Pim…“, ähm, Patriot, fordert nonchalant auf, dass Bürger Verstöße gegen die 2G-Regel proaktiv melden sollen.
Eigentlich müsste auch hier die Polizei ausrücken und seine Aussage schwarz überstreichen, Denunziantentum ist ganz genau dass, was die Bevölkerung jetzt noch oben drauf braucht.
Und ja, es ist der Grote, der selbst wegen Nichteinhaltung der Kontaktbeschränkungen ein Bußgeld zahlen musste.
0 gefällt das
Colorado-Fan Der Benutzer wurde geprüft und ist eine reale Person. Unterstützt das Forum mit einer jährlichen Spende. Ist ein Ehrenmitglied. Neu  17.11.2021 Mittwoch, 17. November 2021 11:22 1 gefällt das
Colorado-Fan Der Benutzer wurde geprüft und ist eine reale Person. Unterstützt das Forum mit einer jährlichen Spende. Ist ein Ehrenmitglied.


Deutschland . NW
Andere direkt anzuschwärzen ist vielleicht nicht die feine Art, aber ich kann dir ein Beispiel nennen, wo ich überlegt habe, ob ich mal das Ordnungsamt anrufe.

In der Nähe meiner Arbeitsstelle gibt es ein Burgerrestaurant. Dieses besuche ich manchmal in der Pause. Man kann dort nur noch an Terminals bestellen und muss angeben, ob man vor Ort essen möchte oder das Essen mitnimmt. Normalerweise müsste spätestens, wenn die Bestellung eingeht und man vor Ort essen will, die Frage nach dem Impfnachweis kommen. Diese kommt aber nicht. Also geht man beim ersten Mal noch hin und fragt einfach mal, ob man seinen Impfnachweis vorzeigen soll. Die Antwort darauf:"Wenn sie sagen, dass sie geimpft sind, dann passt das."

Gut, in dem Laden war bisher eh nicht viel los, ich saß meistens fast alleine. Beim letzten Mal kam nach mir ein Kunde, der sich nach der Bestellung direkt auf einen Platz gesetzt hat. Der Mitarbeiter fragt dann durch den ganzen Laden, wo denn der Impfnachweis des Kunden ist. Der Kunde antwortet:"Ich bin geimpft, aber ich habe keinen Nachweis dabei." Daraufhin antwortet der Mitarbeiter:"Gut, aber wenn das Ordnungsamt kommt, dann haben sie ein Problem, mir ist das egal."

Als ich den Laden verlassen habe, habe ich den Mitarbeiter freundlich darauf hingewiesen, dass er auch Probleme bekommt, wenn das Ordnungsamt mal kontrolliert. Daraufhin bekam ich die Antwort:"Die waren eh noch nie hier."

Habe ich zur Kenntnis genommen und mich dann entschieden, den Laden nicht mehr zu besuchen. Wenn man schon solche einfachsten Regeln nicht einhält, dann wird es in der Küche ehrlich gesagt ähnlich aussehen. Ist das jetzt Denunziantentum, wenn ich solche Leute, die bewusst andere gefährden, beim Ordnungsamt melde? Ich habe es bisher nicht gemacht, aber alleine dieses Selbstbewusstsein, mit dem man da durch die Welt läuft, das verdient eigentlich schon mal ein nettes Gespräch.

Ich habe in der ganzen Pandemie viele Restaurants, usw. besucht. Noch nirgendwo wurde mein Nachweis gescannt. In der Mehrheit der Fälle reicht es, wenn man einfach sagt, dass man geimpft ist. Manche Mitarbeiter haben scheinbar in der Impfung einen guten Chip erhalten, mit dem sie auch ohne Gerät mit den Augen den QR Code scannen können. Der Wahnsinn! Manchmal wird dann noch der Ausweis kontrolliert. Das scheint ja flächendeckend so zu sein. Der Staat ist nicht in der Lage das überall zu prüfen. Also ist es doch nur folgerichtig, wenn man sich mal beim Ordnungsamt meldet, wenn beim Restaurant des Vertrauens nach einem freundlichen Hinweis trotzdem alles beim Alten bleibt.
1 gefällt das
Frossi Der Benutzer wurde geprüft und ist eine reale Person. Unterstützt das Forum mit einer jährlichen Spende. Ist ein Ehrenmitglied. Neu  17.11.2021 Mittwoch, 17. November 2021 11:35 1 gefällt das
Avatar von Frossi Frossi Der Benutzer wurde geprüft und ist eine reale Person. Unterstützt das Forum mit einer jährlichen Spende. Ist ein Ehrenmitglied.


Deutschland . RP
Ich finde nicht.
Denunziantentum hat für mich persönlich eher was, wenn sich ein Dritter in die Probleme/Streitigkeiten oder rechtlichen Querelen anderer einmischt, ohne selbst direkt betroffen zu sein und sich von der Meldung persönliche Vorteile erhofft.

Bei Dir liegen ja schon andere Verstöße gegen das Infektionsschutzgesetz vor (das galt auch vor Corona schon für Lebensmittel, muss der wissen, da er eine Infektionsschutzbelehrung beim Gesundheitsamt machen musste), die nicht nur andere, sondern auch unmittelbar Dich vor Ort betrafen und Du wirkst da was Atemwegserkrankungen und Lebensmittelkram angeht um deine Sicherheit besorgt.

Für mich wäre das eine ganz normale Anzeige/Meldung, wie man sie halt machen kann.
Wenn mir einer ins Gesicht schlägt oder mir glaubhaft Gewalt androht und ich das zur Anzeige brächte, sähe ich mich da auch nicht als Denunzianten.

Aber das ist jetzt meine Meinung, ob das den gängigen oder richtigen Definitionen entspricht, weiß ich nicht.
Gemieden hätte ich den Laden aber auch mindestens mal.

Was das von Bends angesprochene "proaktive Melden gegen Verstöße" angeht, klingt das ja schon eher so als sollten sich Leute in Hilfssheriff-Manier mit Stift und Zettel auf die Straße begeben und Verstöße suchen gehen. Das wäre dann wirklich Denunziererei und schon ein Job für die Polizei und wirklich vollkommen daneben ...
1 gefällt das
multimueller Der Benutzer wurde geprüft und ist eine reale Person. Unterstützt das Forum mit einer jährlichen Spende. Ist ein Ehrenmitglied. Neu  17.11.2021 Mittwoch, 17. November 2021 11:43
Avatar von multimueller multimueller Der Benutzer wurde geprüft und ist eine reale Person. Unterstützt das Forum mit einer jährlichen Spende. Ist ein Ehrenmitglied.
Tom

Deutschland . NW
benbenderWenn man jetzt noch zügig wieder Impfzentren öffnet bzw. die Last nicht alleine den Hausärzten überlässt, könnte jeder zügig seine Drittimpfung erhalten.

Bezüglich eines flächendeckenden „Hochfahrens“ der Impfzentren würde ich mich keinen allzu großen Illusionen hingeben. Klar: diese Art der Impforganisation glänzt insbesondere dann, wenn es keine Priorisierung mit dem dazugehörigen komplexen Terminmanagement gibt. Aber: Impfzentren sind unflexible Kolosse, die noch dazu von Bürokraten betrieben werden. (Auch) deswegen sind sie so irre teuer.

BendsAndy Grote [...] fordert nonchalant auf, dass Bürger Verstöße gegen die 2G-Regel proaktiv melden sollen.

Solche Meldungen ergäben aber auch nur dann Sinn, wenn die Quote nicht- oder unvollständig durchgeführter Status-Kontrollen unter den aktuellen 100% läge …
0 gefällt das
skydiver Der Benutzer wurde geprüft und ist eine reale Person. Unterstützt das Forum mit einer jährlichen Spende. Ist ein Ehrenmitglied. Neu  17.11.2021 Mittwoch, 17. November 2021 11:53
Avatar von skydiver skydiver Der Benutzer wurde geprüft und ist eine reale Person. Unterstützt das Forum mit einer jährlichen Spende. Ist ein Ehrenmitglied.
Harald

Deutschland . BY
Ich denke mit den Informationen über die Drittimpfung hat man schon wieder viel Zeit verloren. Bis vor 1-2 Wochen habe ich mir darüber auch noch keine Gedanken gemacht. Alle Leute die bis Ende April geimpft wurden (meistens im 3 Wochenrythmus) wären ja schon Booster berechtigt.
Ich denke viele haben sich damit noch nicht auseinander gesetzt und es wird noch etwas dauern bis das in den Köpfen drin ist. Die Daten wären ja im Impfportal vorhanden und eine Infomail rauszuschicken, wäre im Prinzip kein Problem gewesen. Die Infomail, dass ihr Impfprofil gelöscht/archiviert wurde, hat ja reibungslos funktioniert S
0 gefällt das
multimueller Der Benutzer wurde geprüft und ist eine reale Person. Unterstützt das Forum mit einer jährlichen Spende. Ist ein Ehrenmitglied. Neu  17.11.2021 Mittwoch, 17. November 2021 12:06
Avatar von multimueller multimueller Der Benutzer wurde geprüft und ist eine reale Person. Unterstützt das Forum mit einer jährlichen Spende. Ist ein Ehrenmitglied.
Tom

Deutschland . NW
skydiverIch denke mit den Informationen über die Drittimpfung hat man schon wieder viel Zeit verloren.

Ich war gerade auf ein paar Impf-Infoseiten verschiedener Städte in NRW unterwegs, weil ich wissen wollte, wer denn überhaupt plant, die Impfzentren wieder aufzusperren (kaum jemand) und die dort vorgehaltenen Infos für Drittimpfungen lasen sich für Nicht-Greise eher wie „Nee, lass mal, bin ich nicht so für, braucht man aber auch nicht …“
0 gefällt das
Bends Der Benutzer wurde geprüft und ist eine reale Person. Unterstützt das Forum mit einer jährlichen Spende. Ist ein Ehrenmitglied. Neu  17.11.2021 Mittwoch, 17. November 2021 12:21
Avatar von Bends Bends Der Benutzer wurde geprüft und ist eine reale Person. Unterstützt das Forum mit einer jährlichen Spende. Ist ein Ehrenmitglied.


Deutschland . NW
Selbst auf der Seite des Bundes steht nur, dass Volljährige das Recht auf Erstattung haben und ansonsten sind nur alte Menschen und medizinische Berufe als „berechtigt“ aufgeführt. Selbst in normalen Wohnformen, wo nicht der medizinische Aspekt im Vordergrund steht, ist dies nicht erwähnt. 0 gefällt das
multimueller Der Benutzer wurde geprüft und ist eine reale Person. Unterstützt das Forum mit einer jährlichen Spende. Ist ein Ehrenmitglied. Neu  17.11.2021 Mittwoch, 17. November 2021 13:01 1 gefällt das
Avatar von multimueller multimueller Der Benutzer wurde geprüft und ist eine reale Person. Unterstützt das Forum mit einer jährlichen Spende. Ist ein Ehrenmitglied.
Tom

Deutschland . NW
BendsSelbst auf der Seite des Bundes steht nur [...]

Aber bestimmt nur, weil Annalena, Robert, Olaf und Christian das Zugangskennwort von Jens geändert haben. S

ÄrzteblattNRW-Gesundheitsminister Laumann will mehr Corona-Impfungen von den Ärzten sehen: „Statt Golfplatz am Samstag Impfen am Samstag.“

Quelle: Ärzteblatt

Ja, das kommt bestimmt super an, Herr Laumann.
1 gefällt das
Frossi Der Benutzer wurde geprüft und ist eine reale Person. Unterstützt das Forum mit einer jährlichen Spende. Ist ein Ehrenmitglied. Neu  17.11.2021 Mittwoch, 17. November 2021 13:41
Avatar von Frossi Frossi Der Benutzer wurde geprüft und ist eine reale Person. Unterstützt das Forum mit einer jährlichen Spende. Ist ein Ehrenmitglied.


Deutschland . RP
Falls jemand nicht genug Volltrottel selbsternannte Experten in seinem Bekanntenkreis hat und daher die besten Argumente gegen das Impfen auch noch nicht kennt, für den hat der "Nachrichten"-Sender WeLT (ja, die schreiben sich so) mal eine bunte Collage alltäglicher Absurditäten zusammen gestellt.

Ich bin zugegeben schon etwas baff wie manche Leute da Argumentieren. Kann man die echt nicht mehr mit der Faktenkeule irgendwie ins Boot holen? Kann doch nicht sein, dass manche ihre steilen Thesen da mehr Glauben schenken als dem Rest der Welt ...

Dieses Video wird direkt von youtube.com abgespielt. onride.de übernimmt keine Haftung für die dargestellten Inhalte.
0 gefällt das
Lipton Der Benutzer wurde geprüft und ist eine reale Person. Unterstützt das Forum mit einer jährlichen Spende. Ist ein Ehrenmitglied. Neu  17.11.2021 Mittwoch, 17. November 2021 13:45
Avatar von Lipton Lipton Der Benutzer wurde geprüft und ist eine reale Person. Unterstützt das Forum mit einer jährlichen Spende. Ist ein Ehrenmitglied.


Deutschland . RP
Ich bin auf der Arbeit dazu übergangen es einfach stillschweigend hin zu nehmen auch wenn es in mir selbst wirklich übelstes Zuckungen auslöst.

Da wird wirklich unfassbare Scheiße erzählt. Von die Spritzen nur Kochsalz bis die geimpften werden als ungeimpfte auf Station gezählt ist wirklich alles dabei.

Während man selbst dankbar ist das man kurzfristig einen Booster Termin bekommen hat.
0 gefällt das
JPeschel Der Benutzer wurde geprüft und ist eine reale Person. Unterstützt das Forum mit einer jährlichen Spende. Ist ein Ehrenmitglied. Neu  17.11.2021 Mittwoch, 17. November 2021 15:39
JPeschel Der Benutzer wurde geprüft und ist eine reale Person. Unterstützt das Forum mit einer jährlichen Spende. Ist ein Ehrenmitglied.


Deutschland . BY
skydiverDie Daten wären ja im Impfportal vorhanden und eine Infomail rauszuschicken, wäre im Prinzip kein Problem gewesen.

Das glaube ich nicht. Ich habe ein paar Wochen nach meiner Zweitimpfung die Mitteilung bekommen, dass mein Profil gelöscht wird. Damit dürften die Daten eigentlich wirklich weg sein. Für die Drittimpfung habe ich ein neues Profil anlegen müssen, wobei ich nicht angeben konnte, dass es sich um eine Auffrischung handelt und wann und womit die ersten Impfungen waren.

Jochen
0 gefällt das
skydiver Der Benutzer wurde geprüft und ist eine reale Person. Unterstützt das Forum mit einer jährlichen Spende. Ist ein Ehrenmitglied. Neu  17.11.2021 Mittwoch, 17. November 2021 17:07
Avatar von skydiver skydiver Der Benutzer wurde geprüft und ist eine reale Person. Unterstützt das Forum mit einer jährlichen Spende. Ist ein Ehrenmitglied.
Harald

Deutschland . BY
Ja das meinte ich ja. Es wäre ja alles vorhanden gewesen wenn man es nicht so eilig mit dem löschen gehabt hätte. Da waren sie mal zu schnell. 0 gefällt das
multimueller Der Benutzer wurde geprüft und ist eine reale Person. Unterstützt das Forum mit einer jährlichen Spende. Ist ein Ehrenmitglied. Neu  17.11.2021 Mittwoch, 17. November 2021 18:08
Avatar von multimueller multimueller Der Benutzer wurde geprüft und ist eine reale Person. Unterstützt das Forum mit einer jährlichen Spende. Ist ein Ehrenmitglied.
Tom

Deutschland . NW
multimueller
ÄrzteblattNRW-Gesundheitsminister Laumann will mehr Corona-Impfungen von den Ärzten sehen: „Statt Golfplatz am Samstag Impfen am Samstag.“

Quelle: Ärzteblatt


Ministerium für Arbeit, Gesundheit und Soziales des Landes Nordrhein-WestfalenMinister Laumann zu seinen Aussagen auf der Medica: „Für mich steht außer Frage: Die Ärztinnen und Ärzte sowie ihre Mitarbeiterinnen und Mitarbeiter leisten tagtäglich Großartiges und haben den entscheidenden Anteil an der Pandemiebekämpfung. Dafür gebührt ihnen unser Dank und unser Respekt. Im Zusammenhang mit der Frage, wie wir die Auffrischungsimpfungen noch weiter vorantreiben können, habe ich einen Vergleich gezogen, der zu Irritationen geführt hat. Das bedauere ich sehr und dafür entschuldige ich mich. Es war kein kluger Vergleich. Jeder, der mich kennt, weiß, dass es mir fernliegt, diejenigen zu verärgern, ohne deren Einsatz die Pandemie nicht zu bewältigen ist.“

Quelle: Twitter
0 gefällt das
multimueller Der Benutzer wurde geprüft und ist eine reale Person. Unterstützt das Forum mit einer jährlichen Spende. Ist ein Ehrenmitglied. Neu  17.11.2021 Mittwoch, 17. November 2021 19:47
Avatar von multimueller multimueller Der Benutzer wurde geprüft und ist eine reale Person. Unterstützt das Forum mit einer jährlichen Spende. Ist ein Ehrenmitglied.
Tom

Deutschland . NW
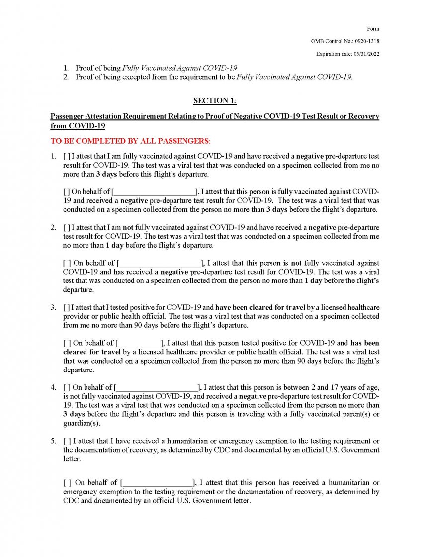
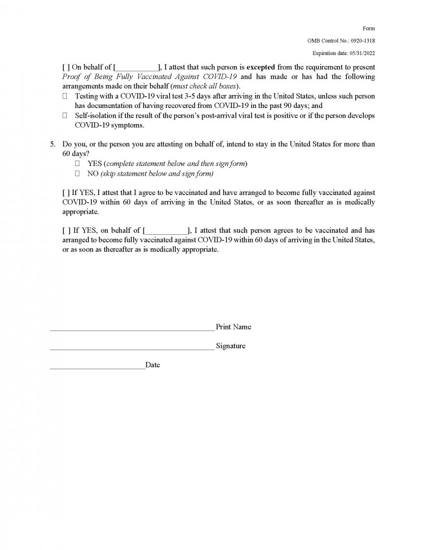
Formulare designen, können die Amerikaner. Da gibt's nix:

upic567560

upic567561

upic567562

upic567563

upic567564

upic567565


Das "Combined Passenger Disclosure and Attestation to the US", das für die Einreise in die USA aufgefüllt werden muss.
0 gefällt das
Stone Der Benutzer wurde geprüft und ist eine reale Person. Unterstützt das Forum mit einer jährlichen Spende. Ist ein Ehrenmitglied. Neu  17.11.2021 Mittwoch, 17. November 2021 19:53
Avatar von Stone Stone Der Benutzer wurde geprüft und ist eine reale Person. Unterstützt das Forum mit einer jährlichen Spende. Ist ein Ehrenmitglied.


Deutschland . RP
Das haben wir übrigens auch ausgedruckt und ausgefüllt und das hat bis jetzt keinen Schwang interessiert. Weder Lufthansa, noch Homeland Security, noch CDC, niemand wollte das sehn. 0 gefällt das
multimueller Der Benutzer wurde geprüft und ist eine reale Person. Unterstützt das Forum mit einer jährlichen Spende. Ist ein Ehrenmitglied. Neu  17.11.2021 Mittwoch, 17. November 2021 22:47
Avatar von multimueller multimueller Der Benutzer wurde geprüft und ist eine reale Person. Unterstützt das Forum mit einer jährlichen Spende. Ist ein Ehrenmitglied.
Tom

Deutschland . NW
Novovax hat für sein Vakzin die EU Zulassung beantragt. Es handelt sich dabei um einen Totimpfstoff aus synthetisch hergestellten Spike-Proteinen, der sich erheblich leichter lagern lässt, als mRNA-Impfstoffe. 0 gefällt das
Maliboy Der Benutzer wurde geprüft und ist eine reale Person. Unterstützt das Forum mit einer jährlichen Spende. Ist ein Ehrenmitglied. Neu  18.11.2021 Donnerstag, 18. November 2021 06:26
Avatar von Maliboy Maliboy Der Benutzer wurde geprüft und ist eine reale Person. Unterstützt das Forum mit einer jährlichen Spende. Ist ein Ehrenmitglied.
Kai Dietrich
Bad Neuenahr-Ahrweiler
Deutschland . RP
Irgendwie hoffe ich ja, das der noch einen kleinen Teil der Impfgegner/Verweigerer zum Impfen bewegt (Kenne leider selber ein paar deren Argumente sind 'Ging mir zu schnell', 'Ich will noch Kinder bekommen', 'Wer weiß was das für Langzeitwirkungen hat').

Da Du solche Zahlen ja oft zur Hand hast: Wie hoch soll denn die Effektivität sein?

Zum Thema Effektivität habe ich übrigens gestern mal wieder was 'neues' gehört. Ein bekannter von einen Kollegen hat angeblich einen Antikörper Test gemacht und angeblich wäre sein Impfschutz quasi Null gewesen. Er wurde mit Aastra geimpft. Was an dieser Aussage dran ist, kann ich natürlich nicht beurteilen. Vor allen vermute ich, das man so etwas nicht mal Pauschal sagen kann. Ich frage mich allerdings, wenn dem so ist/wäre, wäre dann eine Booster Impfung nicht eher wie eine Erstimpfung? Weil, da ist ja an sich nichts mehr zu Boostern. Oder sehe ich das verkehrt da der Körper die Bauanleitung für die Antikörper doch schon kennt und trotz geringer Zahl Antikörper schnell(er) neue Produzieren kann.

In den Nachrichten Gestern habe ich übrigens auch was anderes Interessantes gesehen: In Afrika scheint die Lage nicht annähernd so schlimm zu sein, wie man vermutet hätte. Offensichtlich haben da viele eine Erkrankung mit Milden Symptomen durch gemacht, so das auch hier schon eine gewisse Immunität vorherrscht. Über den Grund ist man sich allerdings noch nicht so wirklich klar. Meine Vermutung ist ja, das aufgrund der viel geringeren Hygenestandards die Menschen dort sowieso viel bessere und stärkere Abwehrkräfte haben.

Tschau Kai
0 gefällt das
multimueller Der Benutzer wurde geprüft und ist eine reale Person. Unterstützt das Forum mit einer jährlichen Spende. Ist ein Ehrenmitglied. Neu  18.11.2021 Donnerstag, 18. November 2021 08:06
Avatar von multimueller multimueller Der Benutzer wurde geprüft und ist eine reale Person. Unterstützt das Forum mit einer jährlichen Spende. Ist ein Ehrenmitglied.
Tom

Deutschland . NW
MaliboyDa Du solche Zahlen ja oft zur Hand hast: Wie hoch soll denn die Effektivität [von Novovax] sein?

In einer als Pre-Print verfügbaren Studie mit 29.949 Teilnehmern lag die Effektivität gegen symptomatische Infektion bei 90,4%, gegen schwere Verläufe bei 100%.

MaliboyEin bekannter von einen Kollegen hat angeblich einen Antikörper Test gemacht und angeblich wäre sein Impfschutz quasi Null gewesen.

Der Immunschutz besteht nicht nur aus Antikörpern sondern auch aus anderen Komponenten, wie z.B. den T-, B- und Gedächtniszellen, die für den langfristigen Schutz sogar eine erheblich größere Rolle spielen. Selbst wenn die Antikörper auf Null sind: der Bauplan für neue ist weiterhin da.

MaliboyIn Afrika scheint die Lage nicht annähernd so schlimm zu sein, wie man vermutet hätte.

Das ist in der Tat so. Jetzt muss man allerdings mit den Zahlen aus Afrika sehr vorsichtig sein und demzufolge auch mit Erklärungsversuchen. Eine zynische Erkenntnis steht aber unumstößlich fest: da die durchschnittliche Lebenserwartung in Afrika teilweise unter 60 Jahren liegt - im Gegensatz zu über 80 in Deutschland und die meisten COVID-Todesopfer über 60 sind, ist klar, warum die Todesrate in Afrika so gering ist. Deswegen hat die Impfung in Afrika für die dortige Bevölkerung kaum einen direkten Nutzen, ein Umstand, den WHO Direktor Tedros Ghebreyesus in seinen Tiraden gerne verschweigt.
0 gefällt das
Gehe zu Seite Zurück  1, 2, 3 ... 195, 196, 197 ... 247, 248, 249  Weiter

Foren · Freizeitparks

Beitrag melden

Abbrechen Kontakt mit dem Autor aufnehmen Meldung absenden

Cookies

Wir benötigen Cookies um die Dienste von onride.de bereitzustellen.

Dazu gehören notwendige Cookies, wie Sitzungs-Cookies und Anmelde-Cookies aber auch Cookies, die von Youtube, Vimeo und Facebook gesetzt werden wenn Videos in Beiträgen zu sehen sind. Beiträge sind essentiel für dieses Forum, daher musst du auch diesen Cookies zustimmen.


Weitere Cookies, wie Analyse- und Tracking-Cookies nutzen wir nicht.

Alles weitere findest du in unserer Datenschutzerklärung.

Heute nicht Zustimmen